行测资料分析速算精题精练第183期
行测资料分析速算精题精练第183期
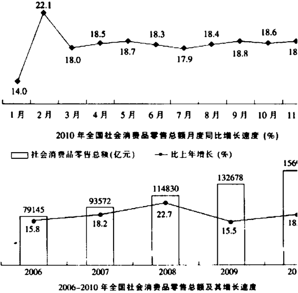
(1).根据以下资料,完成各题。
 
2006-2010年全国社会消费品零售总额增长量和增长率最高的年份分别是( )。
A. 2008、2008
B. 2010、2010
C. 2010、2008
D. 2008、2010
参考答案:C【查看本题解析】
(2). 2010年全国社会消费品零售总额月度同比增长速度最高与最低相差( )。
A. 3.2个百分点
B. 4.9个百分点
C. 6.5个百分点
D. 8.1个百分点
参考答案:D【查看本题解析】
(3). 记2009年2月全国社会消费品零售总额与上月相比的增长率为a,2010年2月全国社会消费品零售总额比上月增长( )。
A. 0.96a
B. 1.07a
C. 1.36a
D. 1.58a
参考答案:B【查看本题解析】
(4). 2010年全国社会消费品零售总额比2005年增加了( )。
A. 88652亿元
B. 86219亿元
C. 81368亿元
D. 77853亿元
参考答案:A【查看本题解析】
(5). 下列说法正确的有( )。
(1)“十一五”时期全国社会消费品零售总额的年平均增长速度高于15%
(2)2010年全国社会消费品零售总额的月同比增长速度大多高于18%
(3)“十一五”时期全国社会消费品零售总额的年增长速度在2009年时最低
A. 0个
B. 1个
C. 2个
D. 3个
参考答案:D【查看本题解析】
相关内容:
复习方法推荐:资料分析高分“三步走”
与行测资料分析速算精题精练第183期相关的文章
下一篇:返回列表






